Course 678 Web Page

McGill University, Department of Epidemiology and Biostatistics
513-678L: ANALYSIS OF MULTIVARIABLE DATA (June 2003)

About the Course  (updated June 2, 2003)

Frequently Asked Questions (FAQ)


Links to Courses(JH)  607   622   626    697  323
Other resources
Encyclopaedia Britannica   The Probability Web  
Video Series: Against All Odds
   List and Where to Obtain Them


Learn SAS: BMI project, January 2003

SAS code and conclusion updated Feb 11, 2003 [includes FAQ]

Intro to SAS (notes by Andrea Benedetti) [Word file] updated Jan 15, 2003

2 ways to use SAS, and materials on how to do so... (updated Sat Sept 20, 2003)

1. using INSIGHT
(by "point and click")
2. using PROGRAM EDITOR
(by typing, fighting syntax errors etc ...)

SAS Help (both SAS and INSIGHT)

[includes excellent 'Program Editor<-> INSIGHT' equivalencies ]
  
follow SAS links from York U
[ also has links for other packages ]   

SAS INSIGHT in PARTICULAR

28 page primer   tutorial  

SAS 8 online Documentation(INSIGHT ) .

Saving a sas filefrom INSIGHT (notes by jh)
(UCLA) Resources for Teaching Statistical Packages

This UCLA site has an excellent series: Class Notes,Learning Modules, FAQs, Textbook Examples, etc for SAS, Stata, and SPSS...

SIGN UP for (FREE) ACCESS to SAS 8 Online Documentation

Login to SAS 8 Online Documentation
http://v8doc.sas.com/sashtml
username / password : onlinedoc / sas


Statistics and Statistical Graphics Resources
(Psychology Dept, York University ... extensive links )

Questionnaire on Temperature Perception(pdf)      data (Excel)

Notes

(Hanley/Negassa/Olivier)


SAS Code for converting a SAS version 6 dataset to a SAS version 8 dataset

Link to a list of other sas resources on web

 

2003 Course Material
[ 1999 Course Material -> link ]

*** Some of the links are to pages/files on another of JH's course pages.
Examine the link before you click on it i.e without clicking, hold the mouse over the link.
If it points to another course site, use that number, eg c607, as the username.
Use the same password for all courses.

Date Topics Text

Slides

Homework
(date due)

Other Notes (***)
Mon
June
2
Understanding
Simple Linear
Regression
Ch 2

1

Wed
June 4

"Bridge" from 607

M&M Ch2 Corrln.

M&M Ch10 Regrn.

G&S Ch2
Wed
June
4
More on
Simple Linear
Regression
Ch 2

2

Fri
June 6

Sums_of_Squares
Fri
June
6
Multiple Linear
Regression:
BASICS
Ch 3
pp51-62

3

Mon
June 9

G&S Ch3
Part 1: pp51-62
( file also contains Part 2)
Mon
June
9
Multiple Regression:
INFERENCE /
APPLICATIONS
Ch 3
pp63-93

4

Wed
June 11

G&S Ch3
Part 2: pp63-93
( file also contains Part 1)
Wed
June
11
Multiple Regression:
ADJUSTMENT /
CONFOUNDING
Ch 3
pp69-72
+ ..

5

Fri
June 13

G&S Ch1+
Fri
June
13
Multiple Regression:
INTERACTION /
EFFECT MODF'N
Ch 3
pp94-104

6

Mon
June 15

G&S Ch3 pp94-103
Mon
June
16
Do the Data Fit
the Assumptions?
Ch 4

7

 

Notes: NKNW Ch 9
Wed
June
18
Multicollinearity
Modeling /
Variable Selection
Ch's 5,6

8

 

 
Fri
June
20
Intro to Logistic
Regression
Ch 11

I
link/
error

 

 
Mon
June
23
Intro to Logistic
Regression
Ch 11

II

 

 
Wed
June
25
Intro to Logistic
Regression
Ch 11

III

 

 
Fri
June
27
Oral Presentation
of Projects
..

..

 

 

Projects:    Possible Datasets    Guidelines

Topics Details
Psychological Stress, Negative Life Events, Perceived Stress, Negative Affect Smoking, Alcohol Consumption and Susceptibility to the Common Cold raw data(for details see documentation)   

documentation

sas program (incl raw data)
Coronary Heart Disease in the Framingham Heart Study data    documentation    sas permanent dataset, version 6

added june 20, 2003
sas program
[incl raw data]
Early diet in children born preterm and their IQ at age eight background
data items
data: contact J.H.
Predicting Percentage of Body Fat from Simple Body Measurements documentation
sas permanent dataset
sas program raw data
Fruitfly Longevity documentation
sas program (incl raw data)
sas permanent dataset
Lidkoping injury prevention program documentation
sas pgm (incl raw data)
sas permanent dataset
The cost of renting office space documentation
data
Pulse Rates before and after Exercise link
doc_sas program raw data(.txt)


Resources / Materials

Session

.

"0"
(pre-)

Medline Search for articles with textword "multivariate" Search Results (20 abstracts)
 
Article:
Iron deficiency and Cognitive Achievement

1

Parent / child heights  Galton's data   documentation   sas   Fig1   Fig2
 
Another example of regression to the mean: why the pattern in  
Fig 6 ?
 
Busselton Norms
Height  
all   women   men   Weight  all   women   men   FEV1  all   women   men
 
Anthropometric study: SW Ethiopia  
summary data
 
Is Miss America an Undernourished Role Model?
 
     
letter to JAMA   data (inside sas program).txt   sas permanent dataset file (sd2)

Shapely centrefolds? Temporal change in body measures: trend analysis
 
     
BMJ article  data [Excel file]  

Montreal temperatures over the 20th century
 
     
sas program       min      max     mean  

Rapid Changes in Flowering Time in British Plants
 
     
article ( Science)  data (Excel file)  

Climate Change in Nontraditional Data Sets
 
     
article ( Science)       The Nenana Ice Classic

   nenana-ice-breakup.txt       nenana-ice-breakup-csv.txt  

INTERGOVERNMENTAL PANEL ON CLIMATE CHANGE (UNEP)
Climate Change 2007: The Physical Science Basis
Summary for Policymakers


Why do old men have big ears? 
article & q's
 
Predicting when babies first sleep through the night  
article and q's
 
From Cartoon Guide to Statistics    
1   2   3   4   5   6   7   8   9   10   11   12   13
 
"Eye-Fits"
Mosteller  
1/3   2/3   3/3   |   JH   spreadsheet  Macro   |   Chatillon 1/3   2/3   3/3
 
Altitude and birthweight  
1/3   2/3   3/3
 
Prediction
Inappropriate use of r for accuracy of prediction
Appropriate use of prediction bands
 
Differences in bone density over 2 centuries  
article & q's   Fig 1   Fig 2
 
So you were born in december too?  
moore  

2

Correlation of Weight and Height in Alberta   4-year olds   3- to 7-year olds
 
95%CI for rho as function of r and n  
Nomogram
 
Cardiovascular Mortality and Water Hardness  
Graph
 
Method Agreement: Bland and Altman  
article   Fig   1   2   3   4   5   6
 
Other examples  
1   2
 
Florida Votes 2000 and 1996  
links to analyses  data

Florida Votes 2000 (includes technology used in each county)
 
notes + data (inside sas program)

Expected Mean Squares etc..  
Excel spreadsheet

3

Notes re multiple regression  from 607
 
Birthweight by gestational age and gender Canada 1972/86
 
    
article   SAS Program (incl data)   sas permanent dataset file (.sd2)

Average Weight as function of Height and Age
contour plot
 
Borrowing Strength using regression    
1     2     3     4
 
Intro to multi-variable analysis (incl. SHARPER and FAIRER e.g.'s)    
from 1995

4

Extra Sums of Squares - from Neter et al.   Figure 7.1
 
pages from Sections 7.1-7.3 of Neter et al.

260   261   262   263   264   265   266   267   268   269   270   271   272   273  
 
Resting on a knife-edge: collinearity    
Excel spreadsheet for 'Statistical Hammock'
Resting on a knife-edge: collinearity     Manuscript: Visualizing how collinearity affects fitted regression coefficients

5

Confounding -- in pictures and numbers   1     2     3
 
Admissions to Berkeley (incl. Mantel-Haenszel calculations)
data
 
Mac vs IBM, Simpson's Paradox, ...    
Other confounding examples
 
Outcomes of Pregnancy during Residency for women and wives of their male classmates
from NEJM
 
Blood Pressure and Altitude
article
 
Neurodevelopment of children exposed in utero to antidepressant drugs
article  

6

Formula for "Ideal" Weight     (.pdf)
 
Distance hit with aluminum vs. wood baseball bat    
figure
 
Average earnings by level of Education, Age and Sex    
table
 
Water fluoridation, tooth decay in 5 year olds, and social deprivation
(Jones CM et al. BMJ 1997;315:514-517, 30 August)


 
article   figure 1
  data extracted from Figure 1 (includes sas program)
 
data extracted from Figure 1 (Excel file)


Broad-Spectrum Sunscreen Use and the Development of New Nevi in White Children    
JAMA article
 
GENETIC VARIATION IN ALCOHOL DEHYDROGENASE AND THE BENEFICIAL EFFECT OF MODERATE ALCOHOL CONSUMPTION ON MYOCARDIAL INFARCTION

 
article

THE RELATION BETWEEN THE AVAILABILITY OF NEONATAL INTENSIVE CARE AND NEONATAL MORTALITY

 
article


A covariate as a modifier, confounder, or both:  
Miettinen
 

7

Annotated Guide to Output and Plots from Regression Fits     sas institute
 
Data from Another Trip to Mars, G_S p9 112-147:    
sas pgm (inc raw data)     sas sd2 file
 

8

Automated Model Selection:     excerpts from SAS manual
 
Modeling and Variable Selection in Epidemiology (Greenland)    
ajph article
 
Resting on a knife-edge: collinearity    
Excel spreadsheet
 

9 - 11

First use of Logistic Regression Function in epidemiology:
"Joint dependence of risk of coronary heart disease on serum cholesterol and
systolic blood pressure: a discriminant function analysis" (1962)    
Cornfield article
 
Altitude and Birthweight    
SAS program (incl raw data)
 
Brand & Keirse: pair of expository articles on logistic regression    
I     II     SAS program (incl data)

Parental periconceptional smoking and male: female ratio of newborn infants:
article

Pulse Pressure and Cardiovascular Disease-related Mortality: Follow-up Study of the Multiple Risk Factor Intervention Trial (MRFIT)
article

Are seat belt restraints as effective in school age children as in adults? A prospective crash study
article

Development and Validation of a Prognostic Index for 1-Year Mortality in Older Adults After Hospitalization
article     editorial

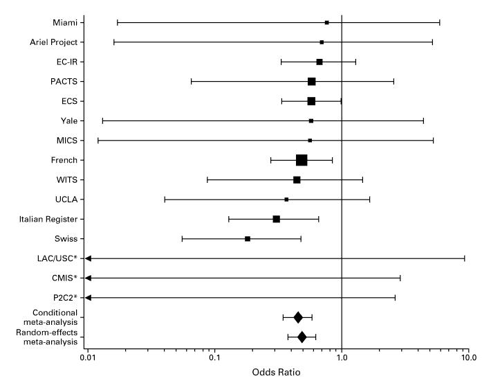
The Mode of Delivery and the Risk of Vertical Transmission of Human Immunodeficiency Virus Type 1 -- A Meta-Analysis of 15 Prospective Cohort Studies

FULL NEJM article (pdf)     Fig 1     Fig 2     Fig 3     Table 1    Table 2     Table 3
link to sas programs and data from table 3 (course 626)
 

The Role of Woodstoves in the Etiology of Nasal Polyposis
article

DATASETS

Directly from the authors (see p 702 of Edition 2 of text)
LINK to Slinker's website
www.vetmed.wsu.edu/AppliedRegression

From Glantz and Slinker

Table 1-1 (p. 5)  
raw data -- inside sas program ( .txt )  
sas permanent dataset file (v6) sas permanent dataset file (v8)

D2  
raw data only ( .txt )   sas program, incl raw data ( .sas )

  sas permanent dataset file (version 6)     sas permanent dataset file (version 8)


D5  
sas program, incl.data ( .txt )

 
sas permanent dataset file (version6)  sas permanent dataset file (version 8)

D6   sas program, incl. data ( .txt )

 
sas permanent dataset file (version6)  sas permanent dataset file (version 8)


D8  
sas program, incl. means and raw data ( .txt )  
sas datasets  
means( version 6)  individuals( version 6)
means( version 8)  individuals( version 8)


C12  
sas program (incl raw data)  

Other

Alberta data(.txt) -- Alberta data(.xls) -- sas_and_data.txt -- sas file (sd2)

alcohol and smooth pursuit data  
sas program (incl data)    documentation
  
sas permanent dataset file (.sd2 i.e., version 6)    sas permanent dataset file (.sas7bdat i.e., version 8)

Berkeley longitudinal data(,txt) -- documentation_and_sas  

birthweight data
sas program (incl raw data and documentation)  sas permanent dataset file (version 6)

bodyfat data (252 ss)
raw data(.txt)  --  sas program_data_documentation(.txt)

  sas permanent dataset (version 6)   sas permanent dataset (version 8)

bodyfat data (small)  
documentation   sas program, incl. raw data ( . sas )
 
sas permanent dataset (version 6)  sas permanent dataset (version 8)

body dimensions  documentation   sas program, incl. raw data ( . sas )

Brain vs Body Weight data for animals -- documentation -- sas
Brain Size data -- documentation -- sas

..

Brink's data -- documentation -- sas

... A Question of Theft [ article by statisticians Fairley (NYC) and Levin (Brinks) ]
... Table and Graphs (courtesy Fairley)
... Testimony(Fairley) .. starting page [1809] -- Testimony(Levin)

1993 cars -- documentation -- sas
catheter data -- documentation -- sas
cigarette data -- documentation -- sas
Coleman data on schools -- documentation -- sas
car crash data -- documentation -- sas

draft lottery data   text file (raw data and documentation)     sas program (incl raw data and documentation)  
sas permanent dataset file(v6)
sas permanent dataset file(v8)

Electricity bills   documentation and questions   sas program, incl raw data ( .txt )

  sas permanent dataset file (version 6)   sas permanent dataset file (version 8)


ER: Quebec Emergency Room data '94-98 -- documentation -- sas

Old Faithful
   
1978/1979 data, from Weisberg     data (inside sas program)     documentation
   
sas permanent dataset file(.sd2 i.e., version 6)    sas permanent dataset file (.sas7bdat i.e., version 8)

   
story and newer (1995) data [M&M]   1995 data (inside sas program)
 
sas permanent dataset file (.sd2 version 6)   sas permanent dataset file (.sas7bdat i.e., version 8)

Forbes' data on boiling point and pressure -- documentation -- sas
Friday the 13th data -- documentation -- sas
Galileo data -- documentation -- sas


House prices  
sas program (incl raw data and documentation

  sas permanent dataset file (version 6)   sas permanent dataset file (version 8)


icu data from Hosmer and Lemeshow -- documentation -- sas
kidney data -- documentation -- sas
data in KKM problem 5_2 -- documentation -- sas
data in KKM problem 5_8 -- documentation -- sas
KKM problem 5_12 child vocabulary data  
raw data (ascii)   sas program (incl rawdata)   sas permanent file (sd2)
data in KKM problem 12_19 -- documentation -- sas
data in KKM problem 12_23 -- documentation -- sas
Lung Pressure data -- documentation -- sas
Muscle data -- documentation -- sas
Olympic data -- documentation -- sas
Polyamine data -- documentation -- sas
salaries data (Graybill and Iyer) -- documentation -- sas
salary data -- documentation -- sas
Satisfaction data -- documentation -- sas
"Sleep in Mammals" data -- documentation -- sas
Does Smoking Improve Survival?  
sas program (incl story and rawdata)
Fatal Crashes when Speed Limit was 55 mph and 65 mph  
sas program incl raw data
   
sas permanent file (.sd2 i.e., version 6)     sas permanent file (.sas7bdat i.e., version 8)
Water supply in Southern California -- documentation -- sas
windsurfing data -- documentation -- article..Page1 -- article..Page2 -- sas -- sas (data and program all-in-one)